Condensateurs de découplage et de de pontage
Dans le paysage rapide en évolution de la conception de circuits électroniques, le rôle des condensateurs, en particulier le découplage et les condensateurs de pontage, est fondamental pour obtenir des performances de système fiables et efficaces.
Tout comme les condensateurs de découplage aident à maintenir la stabilité de la tension dans les microprocesseurs et les appareils numériques et s'assurent que les circuits logiques ne sont pas affectés par les fluctuations de tension ou les interférences électromagnétiques.
Les condensateurs de bypass jouent un rôle important en filtrant le bruit de CA.
Les complexités impliquées dans la sélection des bons condensateurs - considérant leur placement, leur valeur et les besoins spécifiques du circuit - obligeant l'équilibre complexe des connaissances empiriques et de la compréhension technique requise dans les conceptions électroniques modernes
Condensateurs de découplage

Aperçu des condensateurs de découplage
Dans les circuits électroniques, les condensateurs de découplage sont des composants centraux. Ils séparent les sections de circuits individuels et éliminent les interférences à haute fréquence des signaux DC.
La tension stable de ces condensateurs est nécessaire pour le fonctionnement fiable des circuits logiques dans les microprocesseurs et autres appareils numériques.
Les condensateurs de découplage ont plusieurs utilisations.
D'une part, ils peuvent aider en stockant l'excès d'énergie électrique et des fluctuations de tension de lissage. Cela stabilise l'alimentation de tension aux points critiques du circuit, garantissant que les niveaux de logique restent dans leurs seuils requis.
Par conséquent, les sorties numériques restent précises et les erreurs opérationnelles sont empêchées.
D'un autre côté, les condensateurs de découplage protègent les composants sensibles des pics de tension et des affaissement, ce qui peut provoquer une contrainte et des dommages électriques. Cette protection améliore la fiabilité et la durée de vie du système.
La mise en place de ces condensateurs près des composants avides de puissance tels que le CPU ou le GPU garantit que l'alimentation est propre et stable, soutenant les performances globales du système et la durabilité.
Stratégies de placement pour les condensateurs de découplage
Le positionnement stratégique des condensateurs de découplage est la clé de leur rôle dans la conception des circuits. Ces condensateurs doivent être placés où ils relient l'alimentation et le circuit intégré (IC) ou la charge, visant à réduire la zone de boucle.
La minimisation de cette zone aide à réduire les interférences électromagnétiques qui peuvent nuire aux performances du circuit.
Pour obtenir des résultats optimaux, les condensateurs de découplage sont utilisés dans une configuration à plusieurs niveaux en fonction de leurs valeurs de capacité et de la plage de fréquences qu'ils gérent le mieux.
Les plus grands condensateurs, tels que les condensateurs électrolytiques de 10 µF, sont généralement placés légèrement plus loin du IC.
Ce placement aide à atténuer les fluctuations de tension à basse fréquence de l'alimentation, agissant comme un réservoir d'énergie en vrac et lissant les changements lents et à grande amplitude.
En différence, les plus petits condensateurs, comme 0,1 µF, les condensateurs en céramique, sont montés aussi près que possible des broches IC.
Ce placement étroit est significatif car il permet à ces condensateurs de gérer efficacement le bruit à haute fréquence en le rejetant rapidement au sol.
Cette proximité garantit que les perturbations transitoires à haute fréquence sont rapidement neutralisées, maintenant une alimentation en courant continu stable pour le IC et d'autres composants sensibles.
Valeur exacte pour les condensateurs de découplage
Valeur des condensateurs de découplage

où
f est la fréquence
Vic est le voltage du IC
Vripple est l'ondulation du voltage
ZPDN est l'impédance PDN cible
La sélection de la bonne valeur pour un condensateur de découplage nécessite un mélange de connaissances pratiques et de compréhension des besoins spécifiques du circuit.
Ce processus n'est pas guidé par une formule stricte mais plutôt par l'expérience et la conscience de la façon dont le circuit se comporte dans diverses conditions.
Pour gérer le bruit à basse fréquence, les condensateurs allant de 1 µF à 100 µF sont généralement utilisés. Ces condensateurs aident à lisser les fluctuations lentes et à grande tension, garantissant une alimentation stable pour le circuit.
En distinction, des condensateurs de la plage de 0,01 µF à 0,1 µF sont nécessaires pour un bruit à haute fréquence.
Ces plus petits condensateurs répondent rapidement et neutralisent des bruits transitoires rapides qui pourraient perturber les composants sensibles. L'efficacité de ces condensateurs est considérablement améliorée lorsqu'elles sont connectées à un plan de masse à faible impédance.
Cette connexion éloigne efficacement le bruit loin du circuit, stabilise l'alimentation en tension et minimise les interférences avec la fonctionnalité IC.
Un plan de sol robuste aide à dissiper rapidement le bruit, augmentant la stabilité globale du circuit et les performances.
Comment mettre en œuvre des condensateurs de découplage?
Choisissez le type de condensateur approprié
Sélectionnez le bon type de condensateur.
Une capacité élevée et une faible résistance en séries équivalentes (ESR) sont nécessaires pour une suppression efficace du bruit.
Les condensateurs en céramique sont souvent choisis pour leur faible ESR, ce qui les rend efficaces pour gérer le bruit à haute fréquence.
Leur réponse rapide aux changements de tension fournit une alimentation énergétique stable, ce qui les rend adaptées aux applications électroniques sensibles.
Positionnez le condensateur près du IC Placer le condensateur de découplage le plus près possible des broches d'alimentation du circuit intégré (IC).
Cela minimise l'inductance et la résistance des traces de puissance entre le condensateur et le IC, réduisant le risque pour que le bruit entre dans la ligne d'alimentation.
La proximité garantit que tout bruit est rapidement neutralisé avant d'affecter les performances du IC.
Utiliser plusieurs condensateurs
L'utilisation d'une combinaison de condensateurs avec différentes valeurs fournit un filtrage complet à travers un spectre de fréquences.
L'utilisation de valeurs de capacité à grande et à petite capacité permet au circuit de gérer une gamme de fréquences de bruit - de haut en plus faibles - une perturbation minimale de l'inscription dans diverses conditions opérationnelles.
Mettre en œuvre un plan de sol
Incorporez un plan de sol bien conçu pour maintenir la stabilité du circuit, en particulier aux hautes fréquences.
Un plan de sol agit comme un point de référence solide à faible impédance pour le circuit.
Il aide à distribuer uniformément le potentiel de terre à travers la carte de circuit imprimé, à réduire les zones de boucle de sol et à diminuer la sensibilité à l'interférence électromagnétique.
Importance du découplage dans la conception des circuits
Le découplage est une nécessité dans les circuits électroniques pour maintenir une alimentation stable et sans bruit, garantissant des performances cohérentes. Il fournit un chemin à faible impédance vers le sol, réduisant les interférences potentielles en raccourcissant le chemin de retour pour le courant.
Ceci est particulièrement significatif lorsque les charges électriques varient, provoquant des fluctuations rapides de la demande d'énergie qui pourraient déstabiliser le circuit.
Ces condensateurs améliorent la fiabilité du circuit en lissant les fluctuations de puissance et en empêchant le bruit de se propager dans le système.
Ils protègent également les composants sensibles des pointes de tension et des irrégularités électriques qui peuvent provoquer une usure ou une défaillance.
En absorbant et en neutralisant ces pointes, les condensateurs de découplage prolongent la durée de vie des composants et s'assurent que le circuit fonctionne comme prévu.
Bases des condensateurs de contournement
Un condensateur de pontage, bien que similaire à un condensateur de découplage, sert un objectif distinct dans les circuits électroniques.
Il filtre le bruit de CA indésirable de l'alimentation électrique en fournissant un chemin direct et à basse résistance vers le sol, détournant efficacement le bruit des composants sensibles.
Pour y parvenir, des condensateurs de contournement sont placés entre les broches d'alimentation de tension (VCC) et de masse (GND) sur un circuit intégré (IC) ou d'autres composants sensibles. Ce positionnement stratégique garantit que le bruit CA à haute fréquence est rapidement neutralisé.
En offrant un chemin direct vers le sol, ces condensateurs empêchent le bruit d'interférer avec le fonctionnement normal du composant.
L'efficacité d'un condensateur de contournement repose non seulement sur son placement mais également sur sa valeur, choisie en fonction de la fréquence du bruit dont il a besoin pour filtrer.
Des valeurs plus petites sont généralement utilisées pour lutter contre les fréquences plus élevées.
La proximité des connexions d'alimentation et de sol est essentielle, car elle minimise l'impédance dans le chemin du bruit. Ce placement étroit améliore la capacité du condensateur à réagir rapidement aux changements, en maintenant la stabilité et la fiabilité des performances du composant.
Rôle des condensateurs de dérivation des émetteurs
Condensateurs de dérivation des émetteurs

Rôle des condensateurs de dérivation des émetteurs
Dans les circuits analogiques, en particulier dans les amplificateurs d'émetteur (CE) communs, le condensateur de pontage émetteur joue un rôle central dans l'amélioration du gain de tension.
Ce condensateur est connecté en parallèle à la résistance de l'émetteur, créant un chemin à faible impédance vers la terre pour les signaux AC. Cette configuration contourne la résistance de l'émetteur pour les signaux AC tout en maintenant les conditions de biais CC inchangées.
En fournissant ce chemin d'impédance faible, le signal AC subit moins de résistance, permettant une amplitude plus élevée à travers la charge et augmentant le gain global de l'amplificateur.
Si le condensateur de dérivation de l'émetteur est supprimé, le circuit introduit une plus grande rétroaction négative par la résistance de l'émetteur, stabilisant l'amplificateur en réduisant les effets des variations du gain du transistor (bêta).
Cependant, cette stabilisation accrue se fait au prix d'une réduction du gain de l'amplificateur. Lors de l'amélioration de l'amplification du signal sans perdre la stabilité est significatif.
Il est impératif d'utiliser le condensateur de dérivation de l'émetteur pour équilibrer le gain et la stabilité. Le placement et la sélection appropriés du condensateur de dérivation de l'émetteur garantissent l'amplification souhaitée du signal analogique.
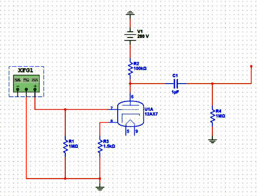
Travailler avec les condensateurs de contournement de la cathode
Condensateurs de pontage de la cathode

Dans les amplificateurs de tube, le condensateur de dérivation de la cathode est la clé pour moduler la réponse de l'amplificateur et améliorer son gain.
Ce condensateur est connecté à travers la résistance de cathode et a des effets différents en fonction de la fréquence du signal. Pour les fréquences audio, le condensateur agit comme un court-circuit, contournant la résistance de la cathode.
Cela élimine la rétroaction négative introduite par la résistance, permettant l'utilisation de la tension de signal complète à travers le tube, ce qui augmente considérablement le gain.
Pour les signaux CC, le condensateur se comporte comme un circuit ouvert.
Cela maintient les conditions de biais CC nécessaires pour un bon fonctionnement du tube, garantissant des performances et une stabilité cohérentes.
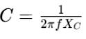
Valeur idéale pour un condensateur de contournement
Valeur pour un condensateur de contournement

La sélection de la bonne valeur pour un condensateur de contournement implique le calcul de la capacité nécessaire pour détourner efficacement les signaux CA vers le sol tout en maintenant les conditions de fonctionnement CC du circuit.
L'objectif est de garantir la réactance du condensateur à la fréquence de fonctionnement est bien inférieure à la résistance qu'elle est parallèle.
Cette faible réactance permet au condensateur de fournir un chemin à faible impédance à la fréquence cible, filtrant efficacement le bruit.
Considérez un scénario où le condensateur est placé à travers une résistance de 440Ω. Pour filtrer efficacement le bruit, la réactance du condensateur (X_C) à la fréquence souhaitée doit être d'environ 44Ω.
La réactance est calculée en utilisant la formule où «C» est la capacité, «F» est la fréquence, et «x_c» est la réactance souhaitée.
En utilisant cette formule:

vous pouvez déterminer la capacité nécessaire pour s'assurer que le condensateur contourne efficacement la résistance des signaux AC.
En garantissant que le condensateur agit comme un conduit efficace pour les signaux AC, vous optimisez l'efficacité du condensateur de dérivation dans toute application électronique.
Utilisations des condensateurs de pontage
Les condensateurs de contournement sont d'une grande importance dans les dispositifs électroniques numériques et analogiques en raison de leurs capacités de filtrage du bruit.
Dans les systèmes audio, les condensateurs de contournement garantissent une transmission sonore claire en minimisant l'interférence du bruit entre les amplificateurs et les haut-parleurs.
Dans la gestion de l'alimentation, les appareils tels que les convertisseurs DC / DC nécessitent des convertisseurs de contournement, où ils aident à maintenir des niveaux de tension stables.
En filtrant les fluctuations de tension et le bruit, les condensateurs de contournement améliorent la fiabilité et l'efficacité de ces dispositifs d'alimentation. Les condensateurs de pontage jouent également un rôle clé dans le couplage et le découplage du signal.
Ils permettent aux signaux de passer entre les étapes sans passer un composant CC, ce qui les rend idéales pour une utilisation dans des amplificateurs à plusieurs étapes ou des unités de traitement du signal.
Ils sont également utilisés dans les circuits de filtrage tels que les filtres passe-haut et passe-bas, où ils définissent la fréquence de coupure et façonnent la réponse en fréquence du circuit.
Différence de découplage et de condensateurs de pontage

Découplage vs condensateurs de pontage: les différences
Contourner et découpler les condensateurs sont utiles pour gérer l'interférence dans les circuits électroniques, mais ils servent des objectifs différents et ont un impact différemment des circuits.
| Condensateur de contournement | Condensateurs de découplage | |
| Function | Principalement utilisé pour faire une haute fréquence bruit directement au sol | Stabiliser les niveaux de tension dans le Circuit en lissant les fluctuations d'alimentation électrique. |
| But | Empêcher le bruit de se propager à travers le circuit, protégeant le système des interférences électromagnétiques et Dysfonctionnements potentiels. | Maintenir les niveaux de logique requis dans le numérique L'électronique en filtrant le bruit qui pourrait provoquer des changements d'état involontaires. |
| Cas d'utilisation | Majeur en environnements avec des Un bruit à haute fréquence qui peut perturber les composants sensibles. | Placé près des épingles d'alimentation micropuce et circuits intégrés pour assurer une alimentation en tension stable et Minimisez l'impact des demandes d'énergie soudaines de l'alimentation électrique. |
Avantages du découplage et des condensateurs de pontage en électronique
Les condensateurs de découplage et de pontage jouent un rôle spécifique dans la conception du circuit pour améliorer la stabilité de l'alimentation et l'intégrité du signal.
Échantillons de conceptions de condensateurs de découplage efficaces
Les applications pratiques des condensateurs de découplage dans divers environnements de haute technologie mettent en évidence leur adaptabilité et leur rôle décisif dans l'électronique moderne.
Ces exemples s'enfoncent dans des scénarios spécifiques, détaillant les subtilités opérationnelles et les considérations techniques nécessaires à un découplage efficace.
Interfaces de mémoire à grande vitesse (par ex., DDR5)
Dans les interfaces de mémoire à grande vitesse comme DDR5, qui fonctionnent au-dessus de 5 GHz, il est central de maintenir une impédance cible inférieure à 0,5 ohms pour des performances fiables.
La réalisation de cela implique un arrangement de découplage PI-filtre, où deux condensateurs en céramique multi-couches 100NF (MLCC) sont utilisés avec une bille de ferrite pour filtrer le bruit à haute fréquence et stabiliser l'alimentation.
De plus, un placement de condensateur interdigité implique de disposer des condensateurs de manière interdigitée près du CI pour minimiser l'inductance et maximiser l'efficacité du découplage.
Systèmes radar automobiles (par exemple, MMIC 24 GHz)
Dans les systèmes radar automobiles fonctionnant à 24 GHz, le maintien de la cohérence de la phase est périlleux et nécessite un bruit d'alimentation exceptionnellement faible, principalement obtenu en minimisant l'interférence de l'inductance du plan de puissance.
L'approche de conception comprend l'intégration de la capacité distribuée directement sous les circuits intégrés micro-ondes monolithiques (MMIC) pour fournir un découplage à haute fréquence localisé et réduire l'inductance efficace.
En entourant le MMIC avec une pile dense de divers condensateurs, y compris des condensateurs en céramique multicouches (MLCC) de différentes valeurs, assure la suppression du bruit à large spectre et la stabilité de la phase.
Unités de traitement graphiques de haute puissance (GPU)
Les GPU à haute puissance, qui gèrent les courants transitoires jusqu'à 150A et ciblent une impédance inférieure à 5 milliarhms jusqu'à 100 MHz, nécessitent une stratégie de découplage sophistiquée pour garantir des performances efficaces.
Cette stratégie comprend l'utilisation de grands condensateurs POSCAP en tantale placés près des épingles d'alimentation du GPU pour offrir une capacité en vrac et gérer efficacement de grands courants transitoires.
Un réseau de condensateurs en céramique, allant du 10NF à 1µF, est intégré à travers le GPU pour filtrer le bruit à haute fréquence et distribuer efficacement la charge, avec un placement stratégique couvrant l'ensemble du réseau de distribution d'alimentation.
En outre, un mélange de différents types de condensateurs est utilisé pour équilibrer le besoin de capacité en vrac et de filtrage à haute fréquence, garantissant des niveaux de tension stables et une distribution de courant efficace à travers le processeur.
Simulation du découplage dans les circuits électroniques
Les stratégies de découplage efficaces reposent sur une modélisation et une simulation approfondies pour prédire et résoudre les problèmes potentiels dans le réseau de distribution de puissance (PDN).
Cela implique de créer des représentations précises du PDN pour comprendre et traiter les comportements dépendants de la fréquence qui peuvent avoir un impact sur les performances du circuit.
Modèles PDN de base et complexes
Des modèles de circuits simples, tels que ceux qui comprennent une source de courant, une résistance et un inducteur, sont utilisés pour simuler les interactions primaires au sein du réseau de distribution d'énergie (PDN), aidant à comprendre les caractéristiques d'impédance fondamentales et la réponse initiale aux changements de courant.
Les réseaux résistants-compacteurs (RC) sont implémentés pour représenter le circuit intégré (IC) et son emballage. Ces modèles peuvent fournir des informations détaillées sur les demandes de puissance et le comportement de bruit du circuit.
Modélisation complète PDN
La modélisation précise du réseau de distribution d'énergie (PDN) considère tous les éléments qui influencent l'impédance, y compris les condensateurs, l'inductance de montage et l'impédance plane, pour garantir des performances optimales.
La sélection des types et valeurs de condensateurs est la clé car les différents condensateurs présentent des caractéristiques d'impédance variables entre les fréquences.
Le modèle doit inclure l'inductance introduite par le montage physique des condensateurs, ce qui a un impact significatif sur les performances à haute fréquence et nécessite une minimisation pour un découplage efficace. L'impédance des plans de puissance et de terre, y compris les effets des vias et des interconnexions, doit être modélisé.
Ces composants contribuent au comportement dépendant de la fréquence du PDN et sont constitutifs pour tenir compte du fait d'éviter la résonance et d'autres problèmes potentiels.
Outils de simulation avancés
Pour analyser et optimiser avec précision le réseau de distribution d'alimentation (PDN), des outils de simulation avancés sont essentiels.
Les spices sont utilisées pour les simulations de circuits, y compris l'analyse transitoire et CA détaillée, qui donnent un aperçu de la façon dont le PDN réagit à différentes composants de fréquence et aux charges transitoires.
De plus, les solveurs électromagnétiques sont utilisés pour modéliser les interactions entre les plans d'alimentation et les composants, aidant à visualiser et à atténuer les problèmes tels que les résonances planes et les interférences électromagnétiques.
Des solveurs d'impédance spécialisés sont également utilisés pour créer des profils d'impédance détaillés du PDN, identifiant les fréquences de résonance potentielles et les pics d'impédance qui pourraient affecter les performances.
Condensateurs de découplage
Les condensateurs de découplage fournissent un courant obligatoire pendant les pics de demande, empêchant les chutes de tension qui peuvent perturber le fonctionnement du CI.
Ils se rechargent rapidement après la décharge, garantissant une stabilité continue de tension. Ces condensateurs atténuent le bruit généré par les transitions logiques numériques, qui peuvent introduire des signaux indésirables dans l'alimentation électrique.
Ils maintiennent une faible impédance à travers une large plage de fréquences, supprimant le bruit à haute fréquence et garantissant un fonctionnement en circuit en douceur. Condensateur de contournement Posités entre les lignes de signal et le sol, les condensateurs de pontage filtrent le bruit en mode commun qui apparaît en phase sur les deux lignes d'un signal différentiel.
Ils permettent au signal souhaité passer à travers tout en filtrant le bruit, la clé pour les applications sujettes à des interférences externes. Les condensateurs de contournement peuvent être utilisés pour le filtrage sélectif de bande, ciblant les fréquences de bruit spécifiques.
Cela garantit que seul le bruit indésirable est filtré sans affecter le signal souhaité. Contrôle d'impédance et intégrité du signal Pour maintenir la régulation de l'impédance, aide en particulier à protéger l'intégrité du signal et à prévenir les distorsions dans les circuits électroniques, les deux condensateurs sont nécessaires.
Ces condensateurs aident à correspondre à l'impédance de différents composants de circuit, réduisant ainsi les réflexions qui peuvent entraîner des distorsions de signal.
En particulier dans les liaisons de données à grande vitesse, les condensateurs de pontage contribuent à réduire la diaphonie, qui est le couplage indésirable des signaux entre les lignes adjacentes.
En réglant l'impédance des lignes de transmission, les condensateurs améliorent l'intégrité du signal et minimisent les pertes, en particulier vitales dans les circuits à haute fréquence.
Conclusion
L'utilisation des condensateurs de découplage et de pontage dans les circuits électroniques n'est pas simplement une pratique standard mais une grande nécessité pour la technologie moderne pour fonctionner à sa capacité de pointe.
Ces composants sont essentiels pour gérer les interférences et stabiliser l'alimentation, qui est nécessaire pour la fiabilité et l'efficacité des systèmes électroniques.
Grâce à un examen détaillé, cet article met en évidence le placement stratégique et la sélection de ces condensateurs pour répondre à des exigences de circuit spécifiques de cette manière, en minimisant les problèmes opérationnels et en améliorant la longévité des composants.