Transformateurs spéciaux
Dans les applications industrielles, on rencontre un grand nombre de transformateurs de construction spéciale. La plupart possèdent les propriétés de base que nous avons étudiées dans le chapitre précédent :
1. La tension induite dans un enroulement est proportionnelle au nombre de spires;
2. Lorsque le transformateur est en charge, les ampères tours du primaire sont égaux aux ampères-tours du secondaire ;
3. Le courant d'excitation est négligeable par rapport à la valeur du courant de pleine charge du primaire.
Cependant, lorsque le couplage entre le primaire et le secondaire est relativement faible, et lorsque le courant d'excitation est élevé, ces relations ne tiennent plus.
Dans ces circonstances, on doit utiliser le circuit équivalent complet pour décrire le comportement du transformateur.
Nous étudierons vers la fin de ce chapitre les propriétés de ce type de transformateur. Cette analyse est particulièrement utile car elle nous permettra de comprendre les circuits couplés quelconques.
Transformateur à secondaire double
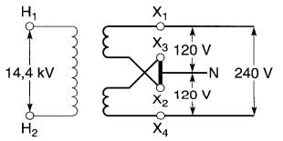
La plupart des transformateurs destinés à la distribution de l'énergie électrique chez les clients domiciliaires ont un enroulement à haute tension (le primaire) et un double enroulement à basse tension.
Les deux secondaires sont raccordés en série de sorte que la tension entre chacun des fils extérieurs et le fil central est de 120V, tandis qu'elle est de 240V entre les deux fils extérieurs (Fig. 31-1).
Figure 31-1 Transformateur de distribution à secondaire double de 14,4 kV à 240/120 V. Le neutre N est habituellement mis à la terre

Le fil central (appelé neutre) est généralement mis à la terre. Nous verrons à la section Distribution de l'énergie électrique l'avantage d'un tel système de distribution à 120V/240V.
Ces transformateurs sont souvent suspendus sur les poteaux de la compagnie d'électricité et chacun alimente un, deux et parfois jusqu'à une vingtaine de clients (Fig. 31-2).
Figure 31-2 Transformateur de distribution de 100 kVA, 14,4 kV à 240/120 V. Le primaire est branché entre la terre et une des trois phases au sommet du poteau

L'appel de puissance imposé par les clients fait varier beaucoup la charge de ces transformateurs de distribution au cours de la journée.
Dans les secteurs résidentiels, la crête de puissance a lieu le matin, et une autre se produit entre 5 h et 7 h du soir. Comme la durée de l'appel de puissance maximal n'excède jamais 2 heures, ces transformateurs fonctionnent la plupart du temps à faible charge.
Étant donné que des dizaines de milliers de ces transformateurs sont branchés sur le réseau, on cherche à minimiser leurs pertes à vide. On atteint cet objectif en utilisant des noyaux en acier de très haute qualité.
Autotransformateur
On appelle autotransformateur, un transformateur composé d'un enroulement unique monté sur un noyau d'acier. La haute tension est appliquée à l'enroulement complet et la basse tension est obtenue entre une extrémité de l'enroulement et une prise intermédiaire.
Soit un autotransformateur (Fig. 31-3) composé d'un enroulement AB de N1 spires monté sur un noyau de fer.
Figure 31-3 Autotransformateur ayant N1 spires entre les bornes A et B et N2 spires entre les bornes A et C

L'enroulement est raccordé à une source de tension constante Eg. Le courant d'excitation crée un flux et, comme dans tout transformateur, ce flux demeure constant tant que Eg est constante.
Supposons que l'on sorte une prise C entre les extrémités A et B de l'enroulement, et que N2 spires soient comprises entre les bornes A et C. Comme la tension induite est proportionnelle au nombre de spires, la tension entre ces bornes est :
E2 = N2 / N1 x E1 (31-1)
Cette relation est la même que celle obtenue avec un transformateur conventionnel à deux enroulements ayant N1 et N2 spires.
Cependant, comme les enroulements primaire AB et secondaire AC ont une borne commune A, ils ne sont plus isolés.
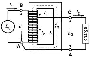
Si l'on branche une charge aux bornes C et A, le courant I2 provoque la circulation d'un courant I1 au primaire (Fig. 31-4).
Figure 31-4 Dans un autotransformateur on a N1I1= N2I2 et E1I1= E2I2.

La section BC de l'enroulement porte le courant I1.
D'après la deuxième loi de Kirchhoff, appliquée au noeud A, la section CA porte un courant (I2.I1).
De plus, la FMM créée par I1 doit être égale et opposée à celle produite par (I2.I1).
On a donc:
I1(N1.N2) = (I2.I1)N2
soit:
N1I1= N2I2 (31-2)
Enfin, si l'on suppose que les pertes et le courant magnétisant sont négligeables, la puissance apparente absorbée par la charge doit être égale à celle fournie par la source.
Par conséquent,
E1I1= E2I2 (31-3)
On constate que les équations (31-1), (31-2) et (31-3) sont identiques à celles obtenues avec un transformateur conventionnel ayant un rapport de transformation N1 / N2.
Cependant, dans un autotransformateur, l'enroulement secondaire fait partie de l'enroulement primaire. Il s'ensuit qu'un autotransformateur est plus petit, moins lourd et moins coûteux qu'un transformateur conventionnel de même puissance.
Cette économie devient particulièrement importante lorsque le rapport de transformation E1 / E2 se situe entre 0,5 et 2.
Par contre, l'absence d'isolation entre la haute tension et la basse tension constitue parfois un grand inconvénient.
Les autotransformateurs servent au démarrage à tension réduite des moteurs, à la régulation de la tension des lignes de distribution et, en général, à la transformation de tensions de valeurs assez rapprochées.
Exemple 31-1
Un autotransformateur ayant une prise de 80% est connecté à une source de 300V (Fig. 31-5).
Figure 31-5 Voir exemple 31-1

Une charge do 3600 W est branchée aux bornes du secondaire.
Calculer:
a) la tension et le courant de la charge
b) les courants circulant dans les parsies BC et CA de l'enroulemnt
c) la Grosseur relative des conducteurs des enroulements BC et CA
Solution
a) Tension au secondaire:
E2
= 80 % x 300 = 240V
Courant dans la charge:
I2
= P / E2 = 3600W /
240V= 15A
b) Courant fourni par la source:
I = P /
E1 = 3600W /
300V = 12A
Courant
dans la partie BC de l'enroulement:
IBC = I1 = 12A
Courant
dans la partie CA:
ICA = I2.I1
= 15A.12A = 3A
c) La section des conducteurs de la partie CA de l'enroulement peut être réduite au quart de celle de la partie BC, car le courant y est 4 fois plus petit.
Cependant, comme la partie CA a 4 fois plus de spires, les deux parties de l'enroulement utilisent à peu près la même quantité de cuivre.
Transformateur conventionnel monté en autotransformateur
Un transformateur à deux enroulements peut être monté en autotransformateur; il suffit de relier le secondaire en série avec le primaire.
Selon le mode de connexion la tension secondaire peut s'ajouter à la tension primaire ou se soustraire de celle-ci.
Considérons, par exemple, un transformateur ayant un rapport de transformation de 600V à 120V.
Les bornes des enroulements et les marques de polarités sont montrées à la Fig. 31-6a.
Figure 31-6
a. Transformateur conventionnel de 600 V/120 V.

b. Transformateur raccordé en autotransformateur de 600 V/480V.

c. Transformateur raccordé en autotransformateur de 600 V/720V

Lorsqu'il est connecté de la façon indiquée à la Fig. 31-6b, c'est-à-dire quand les bornes de même polarité sont reliées ensemble, la tension secondaire se soustrait de la tension primaire :
E2 = 600V.120V = 480V
Par contre, si deux bornes de polarités contraires sont reliées ensemble, les deux tensions s'ajoutent (Fig. 31.6c) :
E2 = 600V + 120V = 720V
Lorsqu'on utilise des transformateurs conventionnels comme autotransformateurs, il est important de se sou.venir des règles suivantes :
1. Le courant dans un enroulement ne doit pas dépasser la valeur nominale
2. La tension aux bornes d'un enroulement ne doit pas être supérieure à la valeur nominale
3. Si le courant nominal circule dans un enroulement, le courant nominal circule automatiquement dans l'autre. (Ceci découle de l'égalité des ampères-tours dans les deux enroulements.)
4.Si la tension nominale apparaît aux bornes d'un enroulement, la tension nominale correspondante apparaît automatiquement aux bornes de l'autre.
5. Si un courant I1 entre par une borne H1, un courant I2 doit sortir par la borne X1 et vice versa
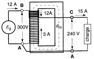
Exemple 31-2
Le transformateur montré à la Fig. 31-6a a une puissance nominale de 12 kVA.
Calculer la charge maximale qu'on peut en tirer s'il est monté en autotransformateur ayant un rapport de transformation de 600V à 480V.
Le courant nominal dans l'enroulement de 600V est :
I = S / E1 = 12 000 VA / 600V = 20A
Le courant nominal dans l'enroulement de 120V est:
I2 = S / E2 = 12000 VA = 100A
La Fig. 31-7a donne les connexions pour la transformation de 600V à 480V; le circuit est représenté schématiquement à la Fig. 31-7b.
Figure 31-7
a. Autotransformateur de 600 V/480V sous charge.

b. Schéma montrant les courants dans le montage et dans les enroulements.

On remarque que la charge est raccordée directement en série avec l'enroulement de 120V.
Puisque cet enroulement peut débiter un courant de 100A, la charge peut tirer une puissance maximale de:
Scharge = EI2 = 480V x 100A = 48 kVA
La répartition des courants à pleine charge est indiquée sur le schéma de la Fig. 31-7b.
On constate que:
1. le courant de 100A entre par la borne X1 ; il faut donc que le courant de 20A sorte par la borne H1. Il s'ensuit qu'un courant de 80 A doit circuler dans la source;
2. La puissance fournie par la source est bien égale à celle absorbée par la charge:
Ssource = E1I1 = 600V X 80A = 48 kVA
Cet exemple démontre que le transformateur conventionnel monté en autotransformateur peut alimenter une charge beaucoup plus grande que la capacité nominale du transformateur.
Cependant, cela dépend du genre de connexion utilisé.
Ainsi, supposons que l'on désire monter le transformateur de l'exemple précédent en autotransformateur ayant un rapport de 120V à 480V (Fig. 31-8).
Figure 31-8 La charge maximale qu'un autotransformateur peut supporter dépend du rapport de transformation désiré

Dans ce cas, la charge est en série avec l'enroulement Hl H2. Comme ce dernier peut supporter un courant maximal de 20 A, la puissance de la charge ne peut donc dépasser:
Scharge = 480V x 20A = 9,6 kVA
soit une capacité inférieure à la capacité nominale du transformateur.
Ce transformateur atteindra la même température dans les montages des Fig. 31-7 et 31-8 car les courants et les tensions supportés par les enroulements restent les mêmes dans les deux cas.
Transformateurs de tension
Les transformateurs de tension sont des transformateurs de haute précision dont le rapport de transformation varie très peu avec la charge.
De plus, la tension secondaire est en phase avec la tension au primaire à une fraction de degré près. Les transformateurs de tension sont utilisés sur les lignes à haute tension pour alimenter des appareils de mesure (voltmètres, wattmètres, etc.) ou de protection (relais).
Ils servent (1) à isoler ces appareils de la haute tension et (2) à les alimenter à des tensions appropriées.
Le rapport de transformation est choisi de façon que la tension secondaire soit d'une centaine de volts, ce qui permet l'utilisation d'instruments de fabrication courante (0-150 V) pour la mesure de tensions élevées (Fig. 31-9).
Figure 31-9 Montage d'un transformateur de tension utilisé pour mesurer la tension sur une ligne à 69 kV

Le primaire des transformateurs de tension est branché en parallèle avec le circuit dont on veut connaître la tension. Leur construction diffère très peu de celle des transformateurs conventionnels.
Cependant, leur puissance nominale est généralement faible (inférieure à 500 VA), de sorte que le volume de l'isolation dépasse souvent celui du cuivre et de l'acier. Les transformateurs de tension installés sur les lignes HT sont toujours raccordés entre une ligne et le neutre.
Cela élimine la nécessité d'utiliser deux grosses bornes en porcelaine car un côté de l'enroulement HT est raccordé à la terre. Par exemple, la Fig. 31-10 montre un transformateur utilisé sur une ligne à 138 kV.
Figure 31-10 Transformateur de tension de 7000 VA, 80,5 kV, 50 Hz à 60 Hz. Une borne primaire est raccordée à une ligne H.T. et l'autre à la terre. Le secondaire comprend 2 enroulements de 115 V ayant chacun une prise à 66,4 V.
Autres caractéristiques.précision : 0,3 %; BIL: 650 kV; hauteur totale: 2565 mm; hauteur de la borne en porcelaine: 1880 mm; huile: 250 litres; masse: 740 kg (gracieuseté de Ferrant,)

Il comprend une grosse borne (traversée) en porcelaine afin d'isoler la ligne haute tension du boîtier qui est mis à la terre. Ce dernier renferme le transformateur proprement dit.
On doit toujours connecter un des fils de l'enroulement secondaire à la masse, sans quoi on risque de prendre un choc électrique en touchant l'instrument de me.sure ou un de ses fils de raccordement.
En effet, bien que le secondaire paraisse isolé du primaire, la capacitance distribuée entre les deux enroulements effectue une connexion invisible qui peut produire au secondaire une tension très élevée par rapport au sol si l'on néglige de la raccorder à la masse (Fig. 31-9).
Transformateurs de courant
Les transformateurs de courant sont des transformateurs de haute précision dont le rapport de transformation demeure essentiellement constant même lorsque la charge au secondaire varie. On atteint un haut niveau de précision en réduisant au minimum le courant d'excitation.
Les transformateurs de courant sont utilisés pour ramener à une valeur facilement mesurable les courants intenses des lignes à haute ou à basse tension. Ils servent aussi à isoler les appareils de mesure ou de protection des lignes à haute tension.
Le primaire de ces transformateurs est monté en série avec la ligne dont on veut mesurer le courant (Fig. 31-11).
Figure 31-11 Montage d'un transformateur de courant. Le primaire est raccordé en série avec la ligne à 69 kV

Ces transformateurs sont employés seulement pour fins de mesure et de protection; donc leur capacité est faible et est normalement de l'ordre de 15 à 200 VA.
Comme pour les transformateurs conventionnels, le rapport de transformation du courant est inversement proportionnel au rapport des nombres de spires du primaire et du secondaire.
Un transformateur de courant ayant un rapport de 150A / 5A a donc 30 fois plus de spires au secondaire qu'au primaire. Le courant nominal du secondaire est généralement de 5A ou 1A. L'emploi des transformateurs de courant sur les lignes à haute tension est indispensable pour des raisons de sécurité.
Supposons que le courant dans une ligne à 69 kV soit de 30 A. Bien que ce courant puisse être mesuré directement par un ampèremètre de 0-50 A, personne ne pourrait approcher ou toucher l'instrument sans subir un choc électrique fatal.
Il est essentiel que l'instrument soit isolé de la haute tension au moyen d'un transformateur, comme l'indique la Fig. 31-11. L'isolation entre le primaire et le secondaire doit être suffisante pour éviter toute possibilité de court-circuit.
La valeur de la tension maximale que cette isolation peut supporter est normalement inscrite sur la plaque signalétique. Comme dans le cas d'un transformateur de tension, on doit toujours raccorder un des fils secondaires à la masse.
Afin d'assurer une bonne précision, les transformateurs de courant utilisés pour la mesure de l'énergie et de la puissance électrique sont construits avec beaucoup de soin.
En particulier, le courant d'excitation doit être extrêmement petit, ce qui impose au constructeur une faible densité de flux dans le noyau, de l'ordre de 0,3 tesla seulement.
Selon la capacité en volts-ampères du transformateur, la tension nominale au secondaire est de l'ordre de 4 V à 20 V.
La Fig. 31-12 montre un transformateur de courant de 500 VA, 1000A / 5A, conçu pour une ligne à 230 kV.
Figure 31-12 Transformateur de courant de 500 VA, 1000A / 5 A, isolé pour une tension de 230 kV. Les deux extrémités de l'enroulement H.T. passent à l'intérieur de la borne de porcelaine (gracieuseté de Westinghouse)

La grosse traversée en porcelaine sert à isoler la ligne HT du sol. Le transformateur est monté à l'intérieur du boîtier situé en bas de la traversée. La partie supérieur de la traversée comprend deux bornes qui sont raccordées en série avec la ligne HT.
Le courant circulant dans la ligne entre par une borne, descend le long de la traversée, circule dans l'enroulement primaire, remonte le long de la traversée et ressort par l'autre borne. Une installation habituelle de transformateurs de courant est illustrée à la Fig. 31-13.
Figure 31-13 Trois transformateurs de courant montés à l'entrée d'un poste de transformation servent à mesurer les courants d'une ligne triphasée à 220 kV. Les trois colonnes situées à droite des transformateurs sont des parafoudres

En guise de comparaison, le transformateur de 50 VA montré à la Fig. 31-14 est beaucoup plus petit, principalement parce qu'il est isolé pour une tension de 36 kV au lieu de 230 kV.
Figure 31-14 Transformateur de 50 VA, 400 A/5 A, isolé pour une tension de 36 kV

Exemple 31-3
Le transformateur de courant de la Fig. 31-14 a une capacité de 50 VA, 400A / 5A, 36 kV, 60 Hz. Il est installé sur une ligne dont la tension liane à neutre est de 24,9 kV. Les ampèremètres, relais et fils de raccordement au secondaire ont une impédance totale de 1,2Ω.
Sachant que le courant dans la ligne de transport est de 280A.
calculer:
a) la valeur du courant au secondaire
b) la tension aux bornes du secondaire
c) la chute de tension aux bornes du primaire
Solution
a) Rapport de courant:
I1 / I2 = 400A / 5A = 80A
Rapport des spires:
N1 / N2 = 1 / 80
Le courant au secondaire est
donc :
I2 = 280A / 80 = 3,5A
b) Tension aux bornes du
secondaire:
E2 = IZ = 3,5A x 1,2Ω
= 4,2V
c) Tension aux bornes du primaire:
E1 = E2 / 80 = 4,2V / 80 = 0,0525V = 52,5 mV
Cela représente une chute de tension minuscule comparée à la tension de 24,9 kV de la ligne.
Transformateur de courant toroïdal
Lorsque le courant à mesurer dépasse 100 A, on peut utiliser un transformateur de courant toroïdal.
C'est un transformateur de construction simple car son noyau est un tore d'acier laminé autour duquel on bobine un enroulement secondaire. Le primaire est constitué par le simple conducteur de ligne traversant l'anneau sans le toucher (Fig. 31-15).
Figure 31-15 Montage d'un transformateur de courant toroïdal

Ce conducteur est équivalent à une spire primaire entourant l'anneau. La position du conducteur primaire n'est pas importante, pour autant qu'il passe à l'intérieur de l'anneau.
Si le secondaire possède N spires, le rapport de transformation est N.
Ainsi, un transformateur ayant un rapport de 1000A à 5A a 200 spires sur le secondaire.
Si l'on fait passer le conducteur primaire 4 fois à l'intérieur du noyau, le rapport de transformation est alors réduit à 250/5A.
Les transformateurs de courant toroïdaux sont simples et peu coûteux. Ils sont fréquemment utilisés sur les réseaux à moyenne tension (MT) et à basse tension (BT).
On les incorpore dans les traversées de disjoncteurs pour mesurer le courant dans la ligne (Fig. 31-16).
Figure 31-16 Transformateur de courant toroïdal monté dans une borne de disjoncteur

Si le courant dépasse le seuil préétabli, le transformateur provoque l'ouverture du disjoncteur.
Exemple 31-4
On utilise un transformateur de tension de 14 400/120 V et un transformateur de courant de 75/5 A pour mesurer la tension et le courant dans une ligne de transport.
Le voltmètre indique 100V et l'ampèremètre 3A.
Calculer la tension et le courant de la ligne.
Solution
Tension sur la ligne = 100V x 14 400V / 120V = 12 000V
Courant dans la ligne = 3A X 75A / 5A = 45A
Danger lorsque le secondaire d'un transformateur de courant est ouvert
On ne doit jamais ouvrir le secondaire d'un transformateur de courant lorsque le primaire est alimenté.
S'il est nécessaire de retirer un instrument raccordé au secondaire, il faut auparavant mettre le secondaire en court-circuit et ensuite retirer l'instrument.
Si par mégarde on ouvre le circuit secondaire, le courant dans le primaire continue à circuler inchangé, car celui-ci est déterminé par la charge du réseau.
Le courant de ligne devient alors le courant d'excitation du transformateur. Comme celui-ci est 100 à 200 fois plus grand que la normale, il produit une densité de flux très élevée qui sature le noyau.
En se référant à la Fig. 31-17, lorsque le courant I1 au primaire croît et décroît durant le premier demi-cycle, le flux croît et décroît également, mais il demeure au niveau de saturation Φs pour presque tout le demi-cycle.
Figure 31-17
a. Courant et flux au primaire d'un transformateur de courant dont le secondaire est ouvert;
b. Forme d'onde de la tension induite au secondaire

Le même phénomène se produit pour le cycle négatif qui suit. Lors de ces périodes de saturation, la tension induite est très faible, car le flux change très peu.
Cependant, durant les périodes non saturées, le flux change très vite, ce qui peut induire aux bornes du secondaire une tension crête de quelques milliers de volts, assez haute pour provoquer un choc électrique dangereux. La tension est d'autant plus élevée que la capacité en voltampères du transformateur est grande.
Autotransformateur variable
Quand on a besoin d'une tension variable de zéro à 600 V ou moins, on a souvent recours à un autotransformateur ayant une prise mobile (Fig. 31-18 et 31-19).
Figure 31-18 Vue en coupe d'un autotransformateur variable montrant (1) noyau de fer toroïdal ; (2) enroulement; (3) balai mobile

Figure 31-19 Diagramme schématique d'un autotransformateur variable alimentant une charge

Le transformateur comprend un enroulement d'une seule couche bobiné sur un noyau d'acier toroïdal, et un balai de carbone mobile que l'on peut déplacer au moyen d'un bouton de réglage.
Le balai glisse sur les spires, et à mesure que le point de contact se déplace, la tension E2 augmente proportionnellement au nombre de spires parcourues.
Si la source de tension E1 est connectée sur une prise fixe de 87 %, on peut faire varier la tension E2 de zéro à 100/0,87 = 115 % de la tension E1.
On préfère ce genre d'autotransformateur à un rhéostat car, pour une position donnée du balai, la tension E2 varie beaucoup moins avec la charge, et les pertes Joule sont minimes.
Il faut toujours brancher un fusible ou un disjoncteur en série avec la ligne qui alimente la charge afin que le courant I2 n'excède jamais la valeur nominale de l'autotransformateur. Sans ce fusible, on risquerait de brûler les spires entre le balai et le point N (Fig. 31-19) lorsque E2 est faible et que la charge est en court-circuit.
La Fig. 31-20 montre un autotransformateur variable motorisé.
Figure 31-20 Autotransformateur de 200A, 0 à 240V, 50 à 60 Hz, composé de 8 unités de 50A, 120V connectées en série.parallèle. Cette unité motorisée permet de faire passer la tension de zéro à 240V en 5 secondes.
Dimensions: 400 mm x 1500 mm

Transformateurs à haute impédance
Il existe plusieurs applications où l'on doit limiter le courant d'un transformateur. Cette caractéristique est requise quand on veut protéger le transformateur sans utiliser un fusible ou un disjoncteur, ou lorsque le secondaire est effectivement en court-circuit en marche normale.
On peut limiter le courant en plaçant une résistance ou une réactance en série avec le primaire ou le secondaire d'un transformateur conventionnel.
Cependant, il est souvent plus convenable et plus économique d'inclure cette réactance dans le transformateur même, en dis.posant les enroulements de telle façon que le couplage soit lâche.
Ce type de construction permet d'obtenir un transformateur possédant des flux de fuite considérables et, par conséquent, une impédance élevée.
Parmi ces transformateurs on retrouve les transformateurs alimentant les jouets, les transformateurs de soudage à l'arc, les transformateurs pour enseignes au néon, les transformateurs de brûleurs à l'huile, les transformateurs pour lampes fluorescentes et enfin les énormes transformateurs alimentant les fours à arc.
Un transformateur alimentant un jouet est souvent mis en court-circuit par inadvertance et il ne serait ni pratique ni sécuritaire de le protéger par un fusible. On se fie alors à sa haute impédance pour limiter le courant afin qu'il ne surchauffe pas dans des conditions d'utilisation anormales.
Les mêmes remarques s'appliquent à certains transformateurs de sonnette utilisés dans les domiciles.
Les arcs électriques et les décharges dans les gaz possèdent une caractéristique E/I de pente négative, c'est.à-dire que la tension diminue à mesure que le courant augmente. Ce genre de charge est instable.
Pour maintenir un courant et un arc stables, on est obligé d'ajouter une impédance en série avec la charge. Il est souvent plus simple d'utiliser un transformateur à haute impédance. Les transformateurs qui alimentent les lampes à décharge haute densité, telles que les lampes au mercure et les lampes à halogénure de métal sont de ce type.
La Fig. 31-21 montre la construction d'un transformateur pour enseigne lumineuse.
Figure 31-21
a. Construction d'un transformateur pour enseigne lumineuse ;

b. Circuit du transformateur;

c. Caractéristique de la tension en fonction du courant.

Le primaire, alimenté à 240V, induit une tension de 7500V dans chacun des enroulements secondaires S raccordés en série.
À cause des flux de fuite θa, θb, θc, considérables, la tension secondaire s'écrase à mesure que le courant de charge augmente. Ainsi, lorsque l'arc est amorcé, le secondaire est en court-circuit, mais le courant ne dépasse pas 30 mA.
En régime normal, le courant est de 15 mA sous une tension de 15 kV. Ces transformateurs possèdent des capacités comprises entre 50 VA et 1500 VA et la tension secondaire est disponible entre 2 kV et 20 kV.
Les transformateurs de brûleurs à l'huile possèdent essentiellement les mêmes caractéristiques que les transformateurs pour enseignes lumineuses.
Une tension secondaire de 10 kV environ produit un arc entre deux électrodes situées au-dessous du jet d'huile vaporisée et qui assurent ainsi son ignition. La fonte des métaux se fait parfois dans la chaleur créée par un arc électrique à basse tension qui brûle entre deux électrodes en carbone (Fig. 31-22).
Figure 31-22 Four à arc triphasé à l'usine Sambre et Meuse de Feignies, France
La capacité de ces transformateurs varie d'une centaine de kVA à 50 MVA. Dans le cas des grosses capacités, la réac.tance de la boucle formée par les conducteurs du secondaire suffit à limiter le courant.
Les transformateurs utilisés pour la soudure à arc possèdent aussi une grande réactance de fuite afin de stabiliser l'arc durant la soudure. La tension à circuit ouvert est de l'ordre de 70V, ce qui favorise l'amorçage de l'arc lorsque l'électrode touche la pièce à soudez dès que l'arc s'établit, la tension baisse à environ 15V, selon la longueur de l'arc et l'intensité du courant.
Enfin, citons comme autre exemple de transformateur à haute impédance les énormes unités triphasées de certains types de compensateurs statiques qui absorbent la puissance réactive des lignes de transport.
Ces transformateurs sont conçus spécialement pour créer des flux de fuites : par conséquent le couplage entre le primaire et le secondaire est lâche.
Les trois enroulements primaires sont raccordés sur la ligne HT (généralement entre 230 kV et 765 kV). Les enroulements secondaires (généralement 5 à 20 kV) sont connectés à un ensemble d'interrupteurs électroniques (valves) dont l'ouverture et la fermeture sont pilotées par un système de commande (Fig. 31-23).
Figure 31-23 Réactance statique triphasée variable

Le système de commande contrôle ainsi l'intensité des courants Ia, lb, I, ce qui fait varier le flux de fuite et, par conséquent, la puissance réactive absorbée par le transformateur. L'emploi des compensateurs statiques sera expliqué au chapitres 46 et 50.
Transformateurs pour fours à induction
Les fours à induction de grande puissance utilisent le principe du transformateur pour produire de l'acier de haute qualité et d'autres alliages. On peut comprendre le principe de l'induction en se référant à la Fig. 31-24.
Figure 31-24 Four à creuset. Le flux θ produit des courants de Foucault dans l'acier fondu. Le condensateur fournit la puissance réactive absorbée par la bobine

Une tension alternative dont la fréquence est de l'ordre de 500 Hz est appliquée à une bobine qui entoure un grand bac contenant de l'acier liquide.
La bobine agit comme primaire et l'acier fondu constitue le secondaire. L'acier agit en effet comme une spire en court-circuit, ce qui engendre des courants très intenses à l'intérieur de la masse liquide. Ce courant produit des pertes Joule qui gardent l'acier à l'état liquide et fondent l'acier en vrac lorsqu'il est ajouté au bain.
Ces fours à induction, appelés fours à creuset, ont des capacités variant de 15 kVA à 40 MVA. La fréquence requise diminue à mesure que leur puissance augmente.
Ainsi, lorsque la puissance dépasse environ 3000 kVA, on peut utiliser la fréquence du réseau, soit 50 ou 60 Hz. Le facteur de puissance d'un four à induction est très bas (de l'ordre de 20 %) car un gros courant magnétisant est requis pour établir le flux magnétique dans l'air et dans l'acier fondu.
Comme la température de l'acier fondu est bien supérieure à celle du point de Curie, la perméabilité de l'acier est essentiellement la même que celle de l'air. Pour cette raison, ce genre de four est parfois appelé four à induction sans noyau.
Pour générer la puissance réactive requise on installe des condensateurs près du four. Un autre type de four utilise un transformateur possédant un noyau de fer qui entoure un canal rempli d'acier fondu, comme l'indique la Fig. 31-25.
Figure 31-25 Four à induction à canal. Le primaire est refroidi à l'eau

Dans ce four, le canal est constitué d'un tuyau en céramique monté en dessous du bac de métal fondu.
Le primaire du transformateur est excité par une source de 60 Hz et le courant secondaire I2 circule dans le canal et dans le bain, qui agissent comme une spire en court-circuit.
Le courant magnétisant est faible, car le flux circule dans un noyau de fer laminé. Par contre, le flux de fuite est considérable car le couplage entre la «spire» secondaire et le primaire est lâche.
Néanmoins, le facteur de puissance est plus élevé que pour un four à creuset, et il est généralement compris entre 60 et 80 %.
Par conséquent, la correction du facteur de puissance exige moins de condensateurs. Un transformateur pour four à induction fonctionne à une température ambiante très élevée.
Pour cette raison, le primaire est composé de conducteurs creux dans lesquels on fait circuler de l'eau. Les fours à induction sont également utilisés pour la fonte de l'aluminium, du cuivre et d'autres métaux. La Fig. 31-26 montre une autre application du chauffage par induction.
Figure 31-26 La photo ci-dessus illustre une étape de la construction de rotor d'un turbo-alternateur: il s'agit de dilater un noyau d'acier de 5 tonnes (frette de têtes de bobines) en le chauffant.
Pour ce faire, on enroule à la main un bobinage composé d'un fi d'amiante ultra-flexible autour de l'anneau. Ce bobinage, alimenté par la source mobile de 35 kW, 2000 Hz visible à gauche, agit comme primaire, tandis que l'anneau d'acier agit comme secondaire en court-circuit.
Le primaire produit un champ magnétique qui engendre des courants de Foucault dans l'anneau, portant sa température à 280°C en l'espace de 3 heures. La dilatation qui en résulte permet de faire glisser la frette chaude sur une extrémité dd rotor où elle se rétrécit et se serre en refroidissant.
Cette méthode de chauffage par induction est plus propre et provoque un échauffement plus uniforme que toute autre méthode. La fréquence de 2 kHz permet de créer des courants de Foucault intenses avec relativement peu de spires au primaire

Transformateur à 3 enroulements
Dans certaines applications on a besoin d'un transformateur comportant deux enroulements secondaires au lieu d'un seul.
Pour déterminer la valeur du courant primaire, on peut tracer le diagramme vectoriel des tensions et des courants pour chacun des enroulements. Cependant, il est plus facile de faire le bilan des puissances active et réactive mises en jeu du côté secondaire.
L' exemple suivant montre la procédure à suivre.
Exemple 31-5
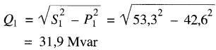
Un transformateur de 90 MVA possède un primaire à 230 kV et deux secondaires da 124 kV et 17 kV respectivement. Le 0secondaire à 124kV a une puissance nominale de 70 MVA, tandis que celui a 17 kV a une puissance nominale de 20 MVA.
Lorsque le transformateur est en charge on obtient les lectures suivantes aux deux secondaires (Fig. 31-27):
Figure 31-27 Transformateur ayant deux enroulements secondaires (voir exemple 31-5)
Secondaire (1 1 124 kV' nominale :
tension lue: 123 kV
courant lu : 433A
facteur de puissance : 80% en retard
Secondaire 12) 17 kV nominale :
tension lue: 18 kV
courant lu : 810A
facteur de puissance : 10% en avance
Calculer le courant et le facteur de puissance au primaire, sachant que la tension de la source est de 227 kV.
Solution
Considérons d'abord le secondaire 1.
Puissance apparente débitée :
S1 = EI = 123 kV x 433A = 53,3 MVA
Puissance active débitée :
P1 = S1 x FP = 53,3 kVA x 0,8 = 42.6 MW
Puissance réactive débitée:

Considérons maintenant le secondaire 2.
Puissance apparente:
S2
= EI = 18 kV x 810A = 14,6 MVA
Puissance active débitée :
P2 = S2
x FP = 14,6 x 0,10 = 1,5 MW
Puissance réactive:

Puisque le facteur de puissance est en avance, le secondaire reçoit 14,5 Mvar.
Puissance active débitée par
les deux secondaires:
Ps = P1
+ P2 = 42,6 + 1,5 44,1 MW
Puissance réactive débitée par les deux secondaires :
Qs = Q1 + Q2 = 31,9 + (-14,6) = 17,3 Mvar
Ces puissances doivent être fournies par la source.
Par conséquent, la puissance apparente au primaire est:

Facteur de puissance au primaire :
FP = P / S = 44,1 MW / 47,4 MVA = 0,93 ou 93 %
Courant au primaire:
IP = S / E = 47,4 x 106 / 227000 = 209A
En pratique, le courant primaire sera légèrement plus élevé que 209A à cause des pertes dans le fer et dans le cuivre, et à cause de la puissance réactive associée au courant magnétisant et aux flux de fuites.
Pour les mêmes raisons, le facteur de puissance sera légèrement plus faible que 93 %.
Transformateurs ayant un courant magnétisant important
Jusqu'à présent nous avons fait des calculs sur les transformateurs conventionnels dont les réactances Xm sont très élevées, alors que les réactances de fuite Xf1 et Xf2 sont très petites.
Il suffit de consulter le tableau 30-1 (section Transformateurs) pour se rendre compte de leurs amplitudes relatives. Il s'ensuit que le courant d'excitation est faible, de sorte qu'on peut le négliger lorsque le transformateur est en charge.
Toutefois, nous avons vu qu'il existe des transformateurs spéciaux, comme ceux utilisés dans les fours à induction, dont le courant magnétisant et les flux de fuite sont très importants.
Dans ces transformateurs, les réactances de fuite Xf1 , Xf2 sont beaucoup plus grandes que d'habitude, tandis que les réactances magnétisantes Xm sont beaucoup plus petites.
Par conséquent, leurs valeurs relatives sont toutes du même ordre de grandeur.
En se référant à la Fig. 31-28, c'est la performance de ce genre de transformateur que nous allons maintenant étudier. Dans cette étude, nous négligerons l'élément Rm car son impédance est toujours très élevée par rapport à Xm.
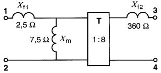
Figure 31-28 Circuit équivalent complet d'un transformateur

De même, nous ignorons la présence des résistances R1 et R2 car leurs valeurs sont habituellement négligeables devant celles de Xf1 et Xf2. Le circuit équivalent prend donc la forme générale montrée à la Fig. 31-29.
Figure 31-29 Circuit équivalent simplifié lorsque les réactances de fuite et la réactance magnétisante sont du même ordre de grandeur

Comme toujours, le rectangle T représente un transformateur idéal.
Pour mieux saisir les facteurs qui entrent en jeu, nous utiliserons un exemple numérique plutôt qu'un modèle théorique. Après avoir expliqué les principes de base, nous prendrons alors une approche plus générale.
Modèle de transformateur spécial
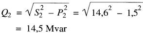
La Fig. 31-30 montre la construction d'un transformateur spécial dont le noyau et l'agencement des enroulements favorisent la création de flux de fuite et d'un courant magnétisant importants.
Figure 31-30 Construction d'un transformateur produisant des flux de fuite et un courant magnétisant importants

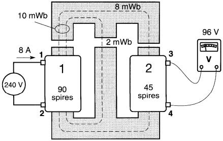
La partie supérieure du noyau est séparée de la partie inférieure par trois entrefers, ayant des longueurs respectives de 8 mm, 12 mm et 3 mm. Les enroulements 1 et 2 possèdent respectivement 90 et 45 spires.
Afin de déterminer le circuit équivalent, nous ferons trois essais et dans chaque cas nous analyserons les tensions, les courants et les flux.
Alimentons donc les enroulements, à tour de rôle, avec une tension alternative ayant une fréquence de 60 Hz.
Essai 1 : Enroulement 1 alimenté; enroulement 2 ouvert
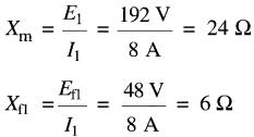
Lorsque l'enroulement 1 est alimenté par une source de 240 V, 60 Hz, l'enroulement 2 étant ouvert, on obtient les lectures suivantes (Fig. 31-31):
Figure 31-31 Essai à vide

E12 =240V I1 =8A E34 =96V
Pour un transformateur conventionnel, avec un couplage presque parfait, on aurait obtenu E2 = 120 V car le rapport des spires est de 2.
Mais comme le couplage n'est pas parfait, la valeur de E2 n'est que 96 V.
C'est dire qu'une fraction seulement du flux créé par la bobine 1 est captée par la bobine 2. Cette fraction est 96 V/120 V = 0,8.
On dit que le coefficient de couplage k entre la bobine 1 et la bobine 2 est de 0,8, soit k12 = 0,8
D'après l'équation 30-3, on trouve le flux créé par la bobine 1:

Comme le coefficient de couplage est de 0,8 seulement, 8 mWb des 10 mWb accrochent les spires de la bobine 2.
La distribution du flux est montrée à la Fig. 31-31.
On constate que le flux mutuel est de 8 mWb, tandis que le flux de fuite est de 2 mWb. Il s'ensuit que le flux mutuel induit dans la bobine 1 une tension:
E1 = 0,8 x 240V = 192V
et que le flux de fuite y induit une tension:
Ef1 = 0,2 x 240V = 48V
Cela nous permet de déterminer la valeur de la réactance magnétisante et de la réactance de fuite du primaire.
En effet:

Il reste à déterminer la valeur de Xf2. Pour cela, on fait un deuxième essai.
Essai 2:
Enroulement 2 alimenté; enroulement 1 ouvert
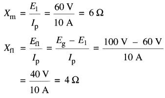
Lorsque l'enroulement 2 est alimenté par une source de 120 V, 60 Hz, l'enroulement 1 étant ouvert (Fig. 31-32), on obtient les lectures suivantes :
Figure 31-32 Essai à vide et lectures obtenues lorsque l'enroulement 2 est alimenté

E34 =120V I2=12A E12 =144V
Pour un transformateur conventionnel à couplage serré, on aurait obtenu E12 = (90 spires/45 spires) x 120 V = 240 V, au lieu de seulement 144 V.
On en déduit que le coefficient de couplage entre la bobine 2 et la bobine 1 est:
k21 = 144 V / 240V = 0,6
D'autre part, on se souvient que k12 = 0,8, ce qui démontre un point important: lorsque deux bobines 1 et 2 sont couplées, les coefficients de couplage k12 et k21 peuvent être très différents.
Le flux créé par la bobine 2 est donné par:

À cause de k21 , 60 % de ce flux, soit 6 mWb, est accroché par la bobine 1, et 40 % passe par la jambe centrale (Fig. 31-32).
La tension induite dans la bobine 2 par le flux de fuite est donc :
Ef2 = 0,4 x 120 V = 48 V
Par conséquent, la valeur de la réactance de fuite au secondaire est:
Xf2 = Ef2 / I2 = 48V / 12A = 4Ω
Cela nous permet de compléter le circuit équivalent du transformateur (Fig. 31-33).
Figure 31-33 Circuit équivalent du transformateur de la figure 31-30

Essai 3:
Enroulement 1 alimenté; enroulement 2 en court-circuit
Nous avons réussi à déterminer le circuit équivalent du transformateur au moyen de deux essais à vide. Toutefois, on aurait pu parvenir aux mêmes résultats au moyen d'un essai à vide et d'un essai en court-circuit, comme dans le cas d'un transformateur conventionnel.
Ainsi, après avoir fait l'essai 1, supposons qu'on applique une tension de 156 V à l'enroulement 1, la bobine 2 étant en court-circuit.
On obtient les lectures suivantes:
E12 =156V I1 =10A I2 =12A
En se référant à la Fig. 31-34, la chute de tension dans l'impédance de 6Ω (déjà connue) est:
Figure 31-34 Essai en court-circuit et valeurs obtenues lorsque l'enroulement 1 est alimenté

Ef1 = I1Xf1= 10A x 6Ω = 60V
Il s'ensuit que la tension aux bornes de X m est:
E1 =156 .60 = 96V
La tension induite au secondaire du transformateur idéal T est donc:
E2 = 96V / 2 = 48V
Ce qui donne une réactance de fuite:
Xf2 = Ef2 / I2 = 48 V / 12A = 4Ω
La valeur de Xf2 est la même que celle trouvée dans l'essai 2.
Analyse d'un transformateur spécial lorsque le rapport des nombres de spires est inconnu
Dans la section précédente, nous avons déterminé le circuit équivalent d'un transformateur spécial dont le nombre de spires était connu.
Cependant, il arrive souvent que le rapport N1 / N2 soit inconnu. Comment peut-on, dans ces circonstances, trouver le circuit équivalent?
On procède alors aux deux essais suivants.
Essai 1
Le transformateur fonctionnant à vide, on alimente un enroulement et on mesure les tensions EA(1) et EB(1) aux bornes des enroulements respectifs. L'indice (1) désigne l'essai 1.
On désigne par A l'enroulement ayant alors la tension la plus élevée. L'autre enroulement est désigné par B.
Ces symboles A, B indiqueront les mêmes enroulements pour le reste de l'expérience.
Le rapport de transformation apparent :
a1 = EA(1) / EB(1)
est obligatoirement plus grand que 1. On mesure aussi la valeur du courant qui circule dans l'enroulement alimenté.
Essai 2
On répète l'essai 1 en alimentant l'autre enroulement. On mesure les nouvelles valeurs de EA(2) (tension aux bornes de l'enroulement A) et EB(2) (tension aux bornes de l'enroulement B).
Le nouveau rapport de transformation apparent est:
a2 = EA(2) / EB(2)
Noter que le rapport a2 peut être plus grand ou plus petit que 1.
On mesure aussi la valeur du courant dans l'enroulement alimenté. On peut prouver qu'il est possible de choisir tout rapport de transformation a compris entre a1 et a2.
On peut choisir celui qui nous convient le mieux.
Par exemple, si a 1 est plus grand que 1 et a2 plus petit que 1 on peut choisir a = 1. (Lorsque a = 1, le circuit équivalent est plus facile à résoudre.)
Par contre, si a1 et a2 sont tous deux plus grands que 1, on peut choisir un chiffre entier qui est plus ou moins proche de la valeur moyenne, soit:
a = (a1 + a2) / 2
Exemple 31-6
Lors de deux essais à vide sur un transformateur spécial, on obtient les résultats, indiqués par les Fig. 31-35 et 31-36
Déterminé le circuit équivalent du transformateur.
Figure 31-35 Essai à vide et lectures obtenues lorsque l'enroulement 1 .2 est alimenté. Le rapport du nombre de spires est inconnu. Le rapport de transformation apparent est de 6 (voir exemple 31-6)

Figure 31-36 Essai à vide et lectures obtenues lorsque l'enroulement 3 .4 est alimenté. Le rapport de transformation apparent est de 14 (voir exemple 31-6)

Solution
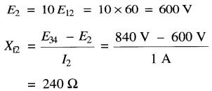
Dans l'essai 1 (Fig. 31-35), on a:
E12 = 100V E34 = 600V
Comme la tension de 600 V est la plus élevée, on désigne l'enroulement 3,4 par le symbole A, l'autre par B.
donc a1 = EA(1) / EB(1) = 600V / 100V = 6
Dans l'essai 2 (Fig. 31-36) on a:
E12 = 60V E34 = 840V
donc a2 = EA(2) / EB(2) = 840V / 60V = 14
Le rapport de transformation peut donc avoir n'importe quelle valeur comprise entre 6 et 14 ; nous choisirons la valeur moyenne, soit:
a = (a1 +a2) / 2 = (6+14) / 2 =10
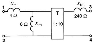
Le circuit équivalent correspondant à ces deux essais est montré aux Fig. 31-37 et 31-38.
Figure 31-37 Tensions et courants lorsque l'enroulement 1 .2 est alimenté (exemple 31-6)

Figure 31-38 Tensions et courants lorsque l'enroulement 3 .4 est alimenté (exemple 31-6)

En se référant à la Fig. 31-37, il est évident que :
E1 = E34 /10 = 600V / 10 = 60V
donc

En se référant maintenant à la Fig. 31-38, on trouve:

Le circuit équivalent du transformateur est donné à la Fig. 31-39.
Figure 31-39 Circuit équivalent du transformateur lorsqu'on choisit un rapport de transformation a = 10

Si l'on avait choisi une valeur de a autre que 10 (mais comprise entre 6 et 14), on aurait obtenu des valeurs différentes pour Xf1, Xf2 et Xm.
Toutefois, lorsque le transformateur est alimenté, ce nouveau circuit équivalent donnera exactement le même résultat que celui montré à la Fig. 31-39.
Par exemple, si on choisit a = 8, on obtient le circuit de la Fig. 31-40.
Figure 31-40 ai Circuit équivalent du transformateur lorsqu'on choisit un rapport de transformation a = 8

Le lecteur aurait avantage à valider ce nouveau circuit en suivant la méthode que nous venons de décrire.
Circuit couplé généralisé
Considérons le transformateur de la Fig. 31-41, où deux enroulements sont couplés de manière très arbitraire.
Figure 31-41 Montage de deux enroulements couplés de façon très arbitraire. On peut déterminer le circuit équivalent de ce «transformateur» même s'il est impossible de préciser le nombre de spires du primaire et du secondaire

Il est impossible dans un tel montage de préciser le nombre de spires. Et pourtant, on peut déterminer expérimentalement les rapports de transformation EA(1) / EB(1) et EA(2) / EB(2) lorsque les enroulements 1, 2 et 3, 4 sont excités à vide, à tour de rôle.
En mesurant les deux courants d'excitation, on peut alors appliquer la même méthode pour déterminer un rapport de spires a convenable, et dès lors définir un circuit équivalent. Cette méthodologie permet d'analyser des transformateurs très spéciaux.
Transformateurs à haute fréquence Nous avons vu que la puissance nominale P d'un transformateur est exprimée par le produit de la tension nominale E1 et du courant nominal I1 au primaire, soit
P = E1I1 (31-4)
Nous savons aussi que la tension primaire est donnée par l'expression
E1 = 4,44fN1Φmax éq. 30-1
où
E1 = tension nominale du primaire [V]
f = fréquence d'opération [Hz]
N1 = nombre de spires au primaire
Φmax = valeur crête du flux dans le noyau [Wb]
En combinant les équations (31-4) et (30-1) on obtient
P = 4,44fN1ΦmaxI1 (31-5)
La formule (31-5) révèle une propriété très intéressante du transformateur.
En effet, pour un courant I1, un nombre de spires N1 et un flux crête Φmax donnés, on peut augmenter la puissance nominale d'un transformateur en augmentant simplement sa fréquence d' opération f.
Considérons, par exemple, un petit transformateur de 36 VA, 60 Hz ayant un rapport de transformation de 120V à 24V et ne pesant que 0,5 kg (Fig. 31-42).
Figure 31-42 Détails de construction d'un transformateur de 36 VA, 60 Hz ayant un rapport de transformation de 120 V/24 V

Les courants nominaux au primaire et au secondaire sont respectivement de 0,3A et 1,5A .
Si l'on fait fonctionner ce transformateur à une fréquence de 600 Hz au lieu de 60 Hz, tout en conservant le même flux dans le noyau, l'équation 30-1 indique que la tension que l'on peut appliquer au primaire augmente à 120V x 600 Hz / 60 Hz = 1200V.
On recueille alors une tension de 240V, au lieu de 24V au secondaire.
Comme la grosseur des spires au primaire et au secondaire n'a pas été modifiée, il s'ensuit que les courants nominaux au primaire et au secondaire demeureront les mêmes, soit 0,3A et 1,5A.
Donc, la puissance nominale du transformateur est maintenant de 1200 V x 0,3 A = 360 VA, au lieu de 36 VA. Cependant, les tensions au primaire et au secondaire sont maintenant 10 fois supérieures aux tensions désirées.
Pour ramener les tensions nominales à leurs va.leurs originales, tout en conservant le même flux dans le noyau, il suffit de rebobiner les enroulements primaire et secondaire en utilisant 10 fois moins de spires (voir éq. 30-1).
Pour que les bobinages conservent les mêmes dimensions, on utilisera du fil de calibre 10 fois plus gros (Fig. 31-43).
Figure 31-43 Détails de construction d'un transformateur de 360 VA, 600 Hz ayant un rapport de transformation de 120V/24 V. Bien qu'il soit 10 fois plus puissant, il possède les mêmes dimensions que le transformateur de la Fig . 31-42. Toutefois, il possède un noyau spécial afin de garder les pertes dans le fer à un niveau acceptable

Par conséquent, les courants nominaux au primaire et au secondaire augmentent respectivement à 3A et 15A . La puissance nominale du transformateur fonctionnant à 600 Hz est donc encore 120V x 3A = 360 VA.
Une augmentation de la fréquence par un facteur 10 nous permet donc d'augmenter la puissance nominale par 10. Il y a, cependant, un problème.
En effet, lorsque le primaire de ce transformateur sera branché sur une source de 120V, 600 Hz, il deviendra beaucoup trop chaud.
Si l'on conserve le même noyau, cette haute fréquence d'opération (600 Hz) produira des pertes excessives dans le fer (pertes par hystérésis et par courants de Foucault).
Afin de corriger ce problème on peut:
(a) réduire l'épaisseur des tôles
(b) choisir un matériau magnétique spécial dont les pertes sont moindres
(c) réduire la densité de flux dans le noyau
Si l'on réussit à trouver un matériau de meilleure qualité produisant, avec la même densité de flux, les mêmes pertes qu'à 60 Hz, on obtiendra effectivement un transformateur de 360 VA, 600 Hz ayant le même échauffement que le transformateur original de 36 VA, 60 Hz.
Toutefois, si l'on continue à augmenter la fréquence au delà de 600 Hz, on sera probablement obligé de réduire la densité de flux dans l'acier pour conserver des pertes acceptables.
Pour un noyau de dimensions données, il en résultera une augmentation moindre de la puissance espérée aux très hautes fréquences.
Il est maintenant évident que l'on peut réduire la grosseur et le poids d'un transformateur en augmentant sa fréquence d'opération. Les fréquences utilisées sont généralement comprises dans la gamme 400 Hz à 100 kHz. Les noyaux des transformateurs à très haute fréquence sont composés de ferrite ou de poudre de fer.
Les transformateurs à haute fréquence trouvent une application dans les équipements où l'on a des contraintes de poids et d'espace.
Dans les avions, par exemple, pour diminuer le poids des composantes électriques, on installe des réseaux de distribution dont la fréquence est de 400 Hz, au lieu de 60 Hz.
Mais où peut-on utiliser des fréquences de l'ordre de 100 kHz?
Ces hautes fréquences sont utilisées dans des blocs d'alimentation spéciaux appelés alimentations à découpage ou « switching power supplies ».
Dans les sections qui suivent, nous expliquerons brièvement l'utilité de ces appareils.
Bloc d'alimentation conventionnel
Supposons que nous désirions construire un bloc d'alimentation à courant continu de 12V, 10A à partir d'une source à c.a. de 120 V, 60 Hz.
On postule, en plus, que la charge à c.c. doit être isolée de la source à 60 Hz. La Fig. 31-44 montre la solution traditionnelle.
Figure 31-44 Composantes d'un bloc d'alimentation à c.c. traditionnel de 12V, 10A. La sortie du bloc est isolée de la source à c.a. Ce bloc est volumineux et lourd

Le montage comprend un transformateur de 120 VA, 120V /15V à 60 Hz, un redresseur à diodes en pont, et un gros filtre LC utilisé pour réduire les ondulations de la tension continue.
Comme le transformateur de 120 VA fonctionne à 60 Hz, il sera assez volumineux et pesant. Le filtre LC aussi sera lourd et encombrant car il doit supprimer les ondulations dont la fréquence fondamentale est relativement basse (120 Hz). 31.18
Alimentation à découpage
La Fig. 31-45 montre les composantes d'une alimentation à découpage qui génère la même tension à c.c. de 12V et qui peut débiter un courant de 10A, soit la même puissance de 120W, à partir de la source de 120V, 60 Hz.
Figure 31-45 Composantes d'une alimentation à découpage dont les tensions et courants d'entrée et de sortie sont les mêmes que pour le montage de la Fig. 31-44. Malgré ses dimensions réduites, ce bloc d'alimentation possède un meilleur rendement que le bloc d'alimentation traditionnel

Il comprend les éléments suivants :
1) un redresseur en pont qui convertit le courant alternatif en courant continu;
2) un condensateur électrolytique qui lisse la tension continue;
3) un convertisseur électronique qui transforme la tension continue en tension alternative à 100 kHz. Ce convertisseur est petit et assez léger;
4) un transformateur de 120 VA à 100 kHz qui abaisse la tension au secondaire à environ 15V. Ce transformateur à noyau de ferrite est très petit car il fonctionne à 100 kHz;
5) un redresseur en pont transformant le c .a. à 100 kHz en c.c. Là encore, il s'agit d'un dispositif petit et léger;
6) un filtre qui lisse la tension continue.
Étant donné que ce filtre est conçu pour supprimer des ondulations à haute fréquence (composante fondamentale de 200 kHz), il suffit d'installer un petit condensateur.
Bien que le bloc d'alimentation de la Fig. 31-45 comprenne 6 éléments, alors que celui de la Fig. 31-44 n'en comporte que trois, il n'en demeure pas moins que le bloc d'alimentation à découpage sera beaucoup plus petit, moins lourd, moins coûteux et plus efficace.
Ces réductions de poids et de dimensions, ainsi que l'amélioration du rendement, sont réalisables grâce au convertisseur électronique qui transforme la tension continue en tension alternative à 100 kHz. Le fonctionnement de ce genre de convertisseur est expliqué à la section Électronique de puissance.
Exemple 31-7
Le transformateur illustré à la Fig. 31-46 possède les spécifications suivantes :
puissance 96 VA, tension primaire 120V, tension secondaire 24V avec prise médiane, fréquence 60 Hz
Le courant nominal au primaire est donc:
96 VA / 120V = 0,8A
Le noyau est composé de tôles de type M14 avant un épaisseur de 0.35 min et dont les pertes fer en fonction de 1,1 densité de flux (induction) 1 60 Hz sont présentées à la fig. 29-5.
Le noyau a une largeur de 82 mm, une hauteur de 70 mm et une épaisseur de 40 mm.
Le nombre de spires des enroulements primaire et secondaire est tel que la densité de flux crête cet de 1.4T.
En se référant à la Fig. 29-5, on constate que les pertes dans le fer à 60 Hz sont alors de 2,6 W/kg.
On désire remplacer le noyau afin que le transformateur puisse fonctionner à une fréquence de 10 kHz avec le même échauffement, tout en conservant les mêmes enroulements.
Afin de réduire les pertes dans le fer. on utilise des tôles de meilleure qualité ayant une épaisseur de 0.1 mm. Les pertes dans le fer pour ce nouveau type de tôle sont décrites par l'expression :
Pfer = 395 x 10-6 f1,59 B1,88 (31-6)
où
Pfer = pertes massiques dans le fer 1 W/kg1
f = fréquence [Hz]
B = densité crête de flux [T]
Cette formule est valable pour les fréquences comprises entre 400 Hz et 20 kHz et pour les densités de flux inférieures à 0.5 T.
On désire calculer la puissance nominale du nouveau transformateur fonctionnant à 10 kHz sachant que l'on impose pour le noyau le même échauffement qu'à 60 Hz.
Solution
Comme les dimensions du noyau ne changent pas, sa masse ne change pas. Il faut donc, pour conserver le même échauffement qu'à 60 Hz, que les pertes dans le fer à 10 kHz se maintiennent à 2,6 W/kg.
Calculons la densité de flux requise.
La formule (31-6) nous permet d'écrire:
2,6 = 395 x 10-6 x 10 0001,59 X B1,88 éq. 31-6
2,6 = 905 B1,88
soit B = (2,6 / 905 )1/1188
d'où B = 0,044 T
Nous constatons que lorsque la fréquence augmente de 60 Hz à 10 000 Hz il faut baisser la densité de flux de 1,4 T à 0,044 T afin que le noyau (et le transformateur) fonctionne à la même température.
Cela représente une diminution de B par un facteur 32!
La tension maximale que l'on peut appliquer au maire du nouveau transformateur est donc :
E10 khz = E60Hz x (10 000 Hz / 60 Hz) x (B10 khz / B60Hz)
donc E10 khz = 120 x 167 x (0,044 / 1,4)
soit E10 khz = 630V
Puisque l'enroulement primaire demeure inchangé, le courant qu'il peut porter est encore de 0,8A.
La puissance du nouveau transformateur est alors :
P10 khz = 630V x 0,8A = 504 VA
Nous avons donc réussi à augmenter la puissance du transformateur de plus de 5 fois en augmentant la fréquence de 60 Hz à 10 000 Hz, et en utilisant des tôles plus minces.
Toutefois, signalons un autre facteur important.
On constate sur la Fig. 31-46 que les enroulements primaire et secondaire sont disposés côte à côte au lieu d'être placés l'un par dessus l'autre.
Par conséquent, le couplage « lâche » entre ces deux bobinages produira une réactance de fuite relativement élevée, même à 60 Hz.
Cela nous cause un problème encore plus important à 10 kHz, car lorsque la fréquence augmente de 60 Hz à 10 000 Hz, la réactance de fuite augmente dans les mêmes proportions, soit par un facteur de 167.
Cela aura un impact certain sur la régulation de tension à la charge. Il est donc souhaitable d'améliorer le couplage en rebobinant les enroulements primaire et secondaire afin qu'ils soient disposés l'un par dessus l'autre, tout en conservant les mêmes nombres de spires.
Résumé
Dans cette section, nous avons étudié les propriétés des transformateurs spéciaux, c'est-à-dire ceux dont la construction diffère du simple transformateur à deux enroulements présenté à la section précédent. Il existe de nombreux types de transformateurs spéciaux. Selon le couplage entre les enroulements, on pourrait résumer leurs propriétés en les regroupant en deux grandes catégories.
Dans une première catégorie de transformateurs spéciaux, les propriétés de base du transformateur quasi idéal sont conservées:
1) la tension induite dans chaque enroulement est proportionnelle au nombre de spires, car les flux de fuites sont faibles
et 2) la somme algébrique des forces magnétomotrices NI de tous les enroulements est nulle, ce qui revient à dire que le courant de magnétisation est négligeable.
Dans cette catégorie on trouve les transformateurs de puissance comme le transformateur à secondaire double utilisé pour effectuer la distribution d'électricité dans les maisons, l'autotransformateur et les transformateurs à plusieurs enroulements.
Pour des rapports de transformation voisins de l'unité (généralement compris entre 0,5 et 2) l'autotransformateur est moins coûteux que le transformateur conventionnel.
Nous avons vu aussi comment monter un transformateur à deux enroulements isolés en autotransformateur abaisseur ou élévateur de tension. Les connexions doivent alors tenir compte des marques de polarité.
Entrent aussi dans cette catégorie les transformateurs de mesure qui transforment de faibles puissances, soit le transformateur de courant et le transformateur de tension.
Pour le transformateur de courant toroïdal le primaire est constitué d'une seule spire formée par le seul conducteur dont on veut mesurer le courant.
Une deuxième catégorie de transformateurs spéciaux englobe les transformateurs à fuites élevées ou à courant de magnétisation important qui sont utilisés dans divers appareils et procédés industriels.
Par exemple, les transformateurs utilisés pour l'alimentation des fours à arc, la soudure électrique et l'alimentation des lampes à gaz, ont des réactances de fuite élevées pour limiter le courant.
Les transformateurs utilisés pour le chauffage à induction ont un courant de magnétisation élevé et, de ce fait, consomment une grande puissance réactive qui doit être compensée par des condensateurs.
Nous avons vu aussi que quel que soit le couplage entre les enroulements il est toujours possible de trouver un circuit équivalent permettant de prévoir le comportement du transformateur alimentant n'importe quelle charge.
On a aussi montré que l'on peut même trouver le circuit équivalent d'un circuit couplé quelconque dont on ne peut préciser les nombres de spires.
Finalement, nous avons montré les applications d'une propriété fondamentale du transformateur:
si l'on maintient une densité de flux constante dans le noyau et une densité de courant constante dans les conducteurs, la puissance que l'on peut en tirer est proportionnelle à sa fréquence d'alimentation.
C'est pourquoi l'utilisation d'une haute fréquence, comme le 400 Hz, permet de réduire la taille des transformateurs dans les réseaux embarqués à bord des avions.
Dans les alimentations à découpage, l'utilisation de très hautes fréquences, de l'ordre de 100 kHz, combinée avec l'emploi d'aciers spéciaux, permet une réduction substantielle des dimensions tout en améliorant la qualité de la tension c.c. de sortie.
PROBLÈMES
Niveau pratique
31-1 Expliquer la différence entre l'autotransformateur et le transformateur conventionnel.
31-2 À quoi servent les transformateurs de tension? Les transformateurs de courant?
31-3 Expliquer pourquoi on ne doit pas ouvrir le circuit secondaire d'un transformateur de courant.
31-4 On doit toujours raccorder à la masse un côté de l'enroulement secondaire d'un transformateur de courant ou de tension. Pourquoi?
31-5 Un transformateur toroïdal a un rapport de 1500A /5A.
a) Combien le secondaire possède-t-il de spires?
b) Combien de fois doit-on passer le fil primaire dans le trou du transformateur afin que le rapport devienne 300A / 5A?
31-6 En se référant à la Fig. 31-19, la tension de la source est de 120V, et celle aux bornes de la charge est de 4V. Le courant dans la charge est de 30A.
Calculer:
a) la valeur du courant tiré de la source
b) la valeur du courant circulant dans l'enroulement compris entre le balai et le point neutre
Niveau intermédiaire
31-7 Un transformateur monophasé de 100 kVA, 7,2 kV/600V est raccordé en autotransformateur pour donner un rapport de transformation de 7,8 kV/7,2 kV.
Quelle charge maximale peut-on appliquer au secondaire de 7,2 kV, la tension primaire étant de 7,8 kV?
31-8 Dans le problème 31-7, montrer comment on doit raccorder les bornes H1H2 et X1X2.
31-9 On monte le transformateur du problème 31-7 en autotransformateur pour obtenir un rapport de 6,6 kV/600 V.
a) La tension primaire étant de 6,6 kV, calculer la charge maximale que l'on peut appliquer du côté 600V.
b) Comment doit-on faire les connexions?
31-10 Un transformateur de courant de 2000A /5A, 60 Hz est installé sur une ligne HT ayant une tension de 132 kV ligne à neutre.
Sachant que la capacitance entre les enroulements primaire et secondaire est de 250 pF, calculer le courant circulant dans le fil de mise à la terre.
31-11 En se référant au transformateur de la Fig. 31-1, une charge résistive de 10 kW est branchée entre les bornes X4 et N et une charge inductive de 5 kvar est branchée entre les bornes X4 et N.
Calculer la valeur du courant dans l'enroulement à 14,4 kV.
31-12 Un four à induction alimenté par une source monophasée de 600V, 400 Hz absorbe une puissance de 70 kW.
Le courant dans l'enroulement primaire est de 210A.
Calculer:
a) la puissance réactive absorbée par le four
b) la capacitance du condensateur qui fournira toute la puissance réactive du four
c) la valeur du courant fourni par la source dans ces circonstances
31-13 Dans la Fig. 31-17, le flux de saturation passe de +7 mWb à -7 mWb pendant un intervalle de 20°.
Sachant que la fréquence est de 60 Hz et que le secondaire possède 50 spires, calculer la valeur crête de la tension induite.
Niveau avancé
31-14 Soit un transformateur à 60 Hz représenté par le circuit équivalent de la Fig. 31-47, dans lequel:
Xf1 = 10Ω
N1 = 200 spires
Xf2 = 320Ω
N2 = 800 spires
Xm = 30Ω
Figure 31-47 Voir problème 31-14

On applique une tension de 80V, 60 Hz entre les bornes 1,2, les bornes 3,4 étant ouvertes.
Calculer:
a) la valeur du courant tiré de la source
b) la tension entre les bornes 3,4
c) le coefficient de couplage k12
d) la valeur du flux total produit par le primaire
e) la valeur du flux de fuite Φf1
31-15 Dans le problème 31-14 on alimente les bornes 3,4 avec la même source de 80V, 60 Hz.
Calculer:
a) la valeur du courant tiré de la source
b) la tension qui apparaît entre les bornes 1,2
c) le coefficient de couplage k21
31-16 On désire monter le transformateur de 12 kVA de la Fig. 31-48 en autotransformateur ayant un rapport de 720V / 600V.
Figure 31-48 Voir problème 31-16

a) Quelles sont les bornes primaires et secondaires?
b) Calculer la charge maximale que l'on peut appliquer au secondaire si la tension primaire est de 720V.
31-17 Le transformateur toroïdal de la Fig. 31-49 a un rapport de 1000A / 5A.
Figure 31-49 Voir problème 31-17

Calculer:
a) la tension induite au secondaire si l'impédance de l'ampèremètre est de 0,15 S2
b) la chute de tension dans la barre omnibus portant le courant de 600 A
c) Si l'on fait passer le conducteur primaire 4 fois à l'intérieur du noyau, quel est le nouveau rapport de transformation?
31-18 Le transformateur de la Fig . 31-50 alimente huit résidences, et la distribution des charges est comme suit:
entre les bornes X1
et N:
3 kW à un facteur de puissance de 80 %, en retard ;
entre les bornes X4
et N:
5 kW à un facteur de puissance de 85 %, en retard ;
entre les bornes X1
et X4:
30 kW à un facteur de puissance
90 %, en retard.
Calculer:
a) la valeur du courant tiré de la ligne à 14,4 kV
b) les puissances active P et réactive Q tirées de la source de 14,4 kV
c) le déphasage entre le courant et la tension au primaire du transformateur
31-19 Une ligne monophasée fournit une tension de 250V et on désire la baisser temporairement à environ 208V.
Pour ce faire, on propose d'utiliser d'urgence le transformateur de 12 kVA de la Fig. 31-6a, monté en autotransformateur.
a) Comment doit-on effectuer les connexions de la source, de la charge et du transformateur?
b) Calculer la charge maximale que l'on peut appliquer sans faire surchauffer le transformateur.
31-20 Soit le transformateur de la Fig. 31-41 dont la résistance des enroulements et les pertes dans le fer sont négligeables.
Lors de deux essais à vide, on obtient les résultats suivants :
| bornes | tension appliquée | courant | tension induite |
| 1,2 | 120V | 4A | E34 = 240V |
| 3,4 | 360V | 1A | E12 = 60V |
a) Calculer les valeurs minimale et maximale du rapport de transformation ;
b) Choisir une valeur appropriée pour le rapport de transformation;
c) Calculer les courants au primaire et au secondaire lorsqu'on applique une tension de 120 V aux bornes 1,2, les bornes 3,4 étant en court-circuit .
Réponses
5a) 300; 5b) 5 fois; 6a) 1 A;
6b) 29 A; 7a) 1300 kVA;
7b) raccorder H2 et Xi; 9a) 91,7 kVA; 9b) raccorder
H2 et X2;
10) 12,4 mA; 11) 0,776 A; 12a) 104,8 kvar; 12b) 115,8 µF;
12c)
116,7 A; 13) 756 V; 14a) 2 A; 14b) 240 V; 14c) 0,75;
14d) 1,50 mWb; 14c)
0,374 mWb; 15a) 0,1 A; 15b) 12 V;
15c) 0,6; 16a) primaire : H1, X2;
secondaire : H1, H2;
16b) 72 kVA; 17a) 0,45 V; 17b) 2,25 mV; 17c) 250 A/5A;
18a) 2,98 A; 18b) 38 kW; 19,86 kvar; 18c) 27,6°;
19a) même connexion que dans
le problème 31-16 ;
19b) 25 kVA; 20a) rapport min = 2 ; rapport max = 6; 20b)
4;
20c) 6 A au primaire; 1 A au secondaire